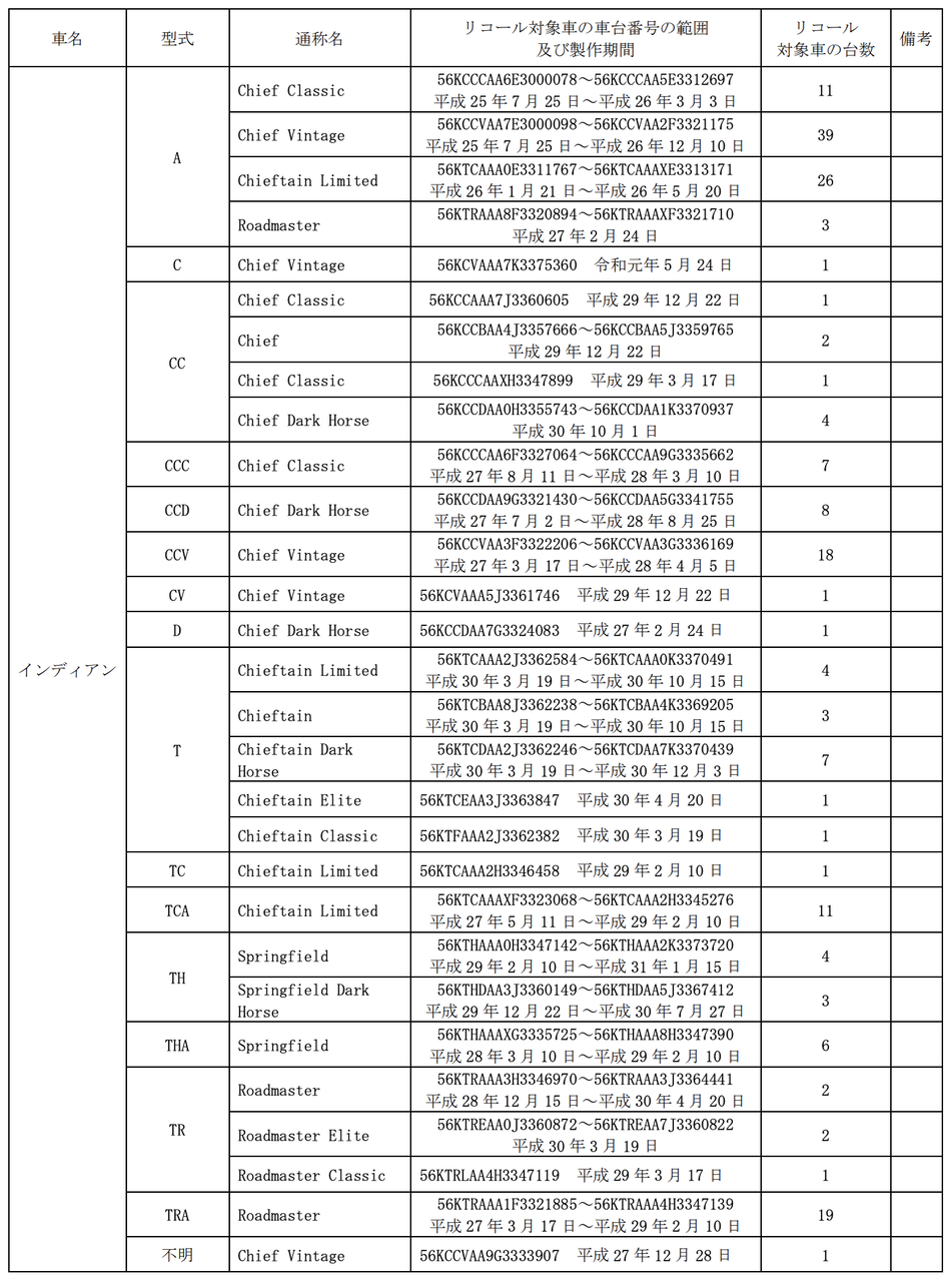
インディアンは「Chief Vintage」など14車種に転倒するおそれのある問題で国土交通省にリコールを届け出た。
リコール届出内容
リコール開始日
令和3年6月25日
不具合部位
変速装置(ギアポジションスイッチ)
基準不適合状態にあると認める構造、装置又は性能の状況及びその原因
ギアポジションスイッチにおいて、ギアポジションセンサーの内部抵抗の設定が不適切なため、正しく抵抗値を検知できず不正確なギア段数信号を発信し、メーターに誤ったギア段数が表示されることがある。そのため、ギアが変速されているにも関わらずニュートラルを表示し、最悪の場合、運転者がニュートラルと誤認識して転倒するおそれがある。
改善措置の内容
全車両、ギアポジションセンサーを対策品に交換する。なお、シフトドラムピンとスプリングを点検し、損傷している場合は新品に交換する。
Source: バイク速報




